如果只知道梯形的上底、下底和高是无法算的梯形的周长的。
梯形的周长计算公式有两种:
1、梯形的周长公式:上底+下底+腰+腰,用字母表示:L=a+b+c+d;其中L表示周长,abcd表示梯形的四条边;
2、等腰梯形的周长公式:上底+下底+2腰,用字母表示:L=a+c+2b 。其中L表示周长,因为是等腰,即其中两条边长度相同,所以四条边只需用三个字母表示即可。

扩展资料:
梯形的面积计算公式:
1、公式1:(上底+下底)×高÷2, 用字母表示:

变形:h=2S÷(a+c);变形2:a=2s÷h-c;变形3:c=2s÷h-a。

2、公式2: 中位线×高,用字母表示:L·h。
3、对角线互相垂直的梯形面积为:对角线×对角线÷2。
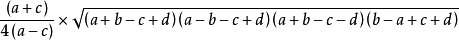
4、只知四边长度时的面积公式:

参考资料来源:百度百科——梯形
