1、定义
等价无穷小:是无穷小的一种。在同一点上,这两个无穷小之比的极限为1,称这两个无穷小是等价的。
同阶无穷小:如果lim F(x)=0,lim G(x)=0,且lim F(x)/G(x)=c,c为常数并且c≠0,则称F(x)和 G(x)是同阶无穷小。同阶无穷小量,其主要对于两个无穷小量的比较而言,意思是两种趋近于0的速度相仿。

2、判断
等价无穷小的两个无穷小之比必须是1;
同阶无穷小的两个无穷小之比是个不为0的常数。因此,同阶无穷小中包含等价无穷小。
扩展资料:
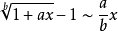
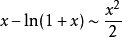
常用的的等价无穷小公式:








参考资料来源:百度百科-等价无穷小
参考资料来源:百度百科-同阶无穷小
