1.方差:variance)是在概率论和统计方差衡量随机变量或一组数据时离散程度的度量。概率论中方差用来度量随机变量和其数学期望(即均值)之间的偏离程度。
统计中的方差(样本方差)是各个数据分别与其平均数之差的平方的和的平均数。
2.方差是实际值与期望值之差平方的平均值,而标准差是方差算术平方根。[4] 在实际计算中,我们用以下公式计算方差。
方差是各个数据与平均数之差的平方的和的平均数,即

,其中,x表示样本的平均数,n表示样本的数量,xi表示个体,而s^2就表示方差。
3.平均差是总体所有单位与其算术平均数的离差绝对值的算术平均数。
平均差是一种平均离差。离差是总体各单位的标志值与算术平均数之差。因离差和为零,离差的平均数不能将离差和除以离差的个数求得,而必须将离差取绝对数来消除正负号。
平均差是反映各标志值与算术平均数之间的平均差异。平均差越大,表明各标志值与算术平均数的差异程度越大,该算术平均数的代表性就越小;平均差越小,表明各标志值与算术平均数的差异程度越小,该算术平均数的代表性就越大。
可用A.D.或M.D.表示。

4.标准差(Standard Deviation) ,中文环境中又常称均方差,但不同于均方误差(mean squared error,均方误差是各数据偏离真实值的距离平方和的平均数,也即误差平方和的平均数,计算公式形式上接近方差,它的开方叫均方根误差,均方根误差才和标准差形式上接近),标准差是离均差平方和平均后的方根,用σ表示。标准差是方差的算术平方根。标准差能反映一个数据集的离散程度。平均数相同的两组组数据,标准差未必相同。
标准差(Standard Deviation),在概率统计中最常使用作为统计分布程度(statistical dispersion)上的测量。标准差定义是总体各单位标准值与其平均数离差平方的算术平均数的平方根。它反映组内个体间的离散程度。测量到分布程度的结果,原则上具有两种性质:
为非负数值, 与测量资料具有相同单位。一个总量的标准差或一个随机变量的标准差,及一个子集合样品数的标准差之间,有所差别。
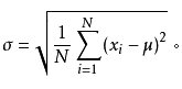
标准计算公式:
假设有一组数值X₁,X₂,X₃,......Xn(皆为实数),其平均值(算术平均值)为μ,公式如图1。
标准差也被称为标准偏差,或者实验标准差,公式为

