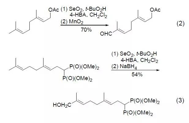
常用于烯丙基,苄基C-H键的氧化,得到烯丙基醇,苄醇或过量得到羰基化合物。含氮芳环的苄甲基经过SeO2氧化得到醛或羧酸,N不受影响。醛或酮用SeO2氧化得到1,2-羰基化合物,氧化邻位亚甲基为羰基,比如环己酮氧化得到1,2-环己二酮,α-甲基酮氧化得到α-羰基醛。因为SeO2本身毒性较大 ,可以用t-BuOOH(叔丁基过氧化氢)和SeO2做共氧化剂,这样可以将SeO2用量减少到催化量,并且使反应条件更为温和。

SeO2氧化酮得到1,2-二酮

SeO2氧化烯丙基得到烯丙基醇或醛
常用于烯丙基,苄基C-H键的氧化,得到烯丙基醇,苄醇或过量得到羰基化合物。含氮芳环的苄甲基经过SeO2氧化得到醛或羧酸,N不受影响。醛或酮用SeO2氧化得到1,2-羰基化合物,氧化邻位亚甲基为羰基,比如环己酮氧化得到1,2-环己二酮,α-甲基酮氧化得到α-羰基醛。因为SeO2本身毒性较大 ,可以用t-BuOOH(叔丁基过氧化氢)和SeO2做共氧化剂,这样可以将SeO2用量减少到催化量,并且使反应条件更为温和。

SeO2氧化酮得到1,2-二酮

SeO2氧化烯丙基得到烯丙基醇或醛