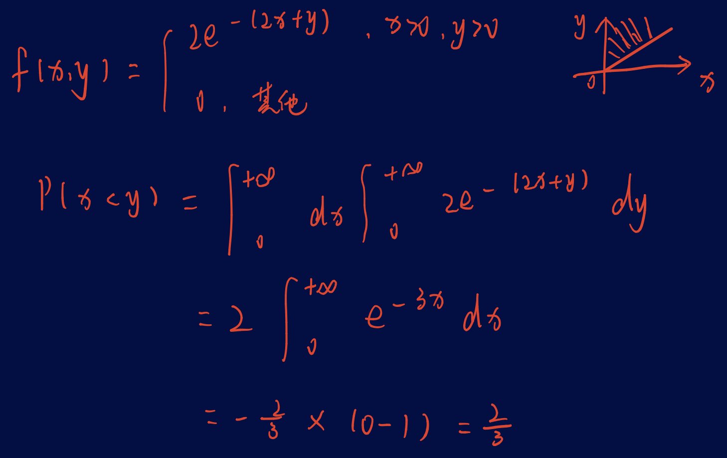
答案是:P(x<y)=2/3
具体解法如下:

解题思路:
求出XY联合概率密度以后,在坐标轴XY上画出Y=-X-1的线,再根据X和Y的取值范围ie,即X>0,Y>0,把联合概率密度在围成的三角形内进行2重积分,即可算出最后答案。
扩展资料
指数分布的意义及用途
指数分布可以用来表示独立随机事件发生的时间间隔,比如旅客进机场的时间间隔、中文维基百科新条目出现的时间间隔等等。
许多电子产品的寿命分布一般服从指数分布。有的系统的寿命分布也可用指数分布来近似。它在可靠性研究中是最常用的一种分布形式。指数分布是伽玛分布和威布尔分布的特殊情况,产品的失效是偶然失效时,其寿命服从指数分布。
