
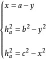
证明:如上图
根据勾股定理,得:




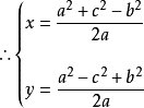
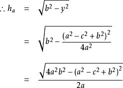
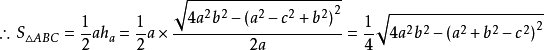
此时化简得出海伦公式,证毕。

扩展资料:
公式表述
海伦公式:

假设在平面内,有一个三角形,边长分别为a、b、c,三角形的面积S可由以下公式求得:

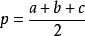
而公式里的p为半周长(周长的一半):

参考资料来源:百度百科-海伦公式

证明:如上图
根据勾股定理,得:




此时化简得出海伦公式,证毕。

扩展资料:
公式表述
海伦公式:

假设在平面内,有一个三角形,边长分别为a、b、c,三角形的面积S可由以下公式求得:

而公式里的p为半周长(周长的一半):

参考资料来源:百度百科-海伦公式